Clinical Analysis of 61 Rectal Cancer Patients Treated with Heavy (Carbon) I
Wuwei Heavy Ion Center: Clinical Analysis of 61 Rectal Cancer Patients Treated with Heavy (Carbon) Ion Therapy
I. Basic Information
As of April 1, 2026, a total of 61 rectal cancer patients have been treated with heavy (carbon) ion therapy at the Wuwei Heavy Ion Center. Among them, there were 44 males and 17 females; the mean age was 57.25 ± 13.17 years, with the oldest patient being 87 years old and the youngest 29 years old.
Total cases: 61
- Gender: 44 males and 17 females
- Age: Mean age of 57.25±13.17 years, ranging from 29 to 87 years
Installment Composition
- Stage I: 1 case
- Stage II: Approximately 12 cases
- Stage III: Approximately 10 cases
- Stage IV: The remaining about 38 cases (accounting for approximately 62%), most of which are accompanied by distant metastases in the liver, lungs, bones, lymph nodes and other parts
Conclusion: The majority of patients in this group presented with locally advanced (stage III) or metastatic (stage IV) disease, representing a population with a poor prognosis under conventional treatment.
II. Survival Status
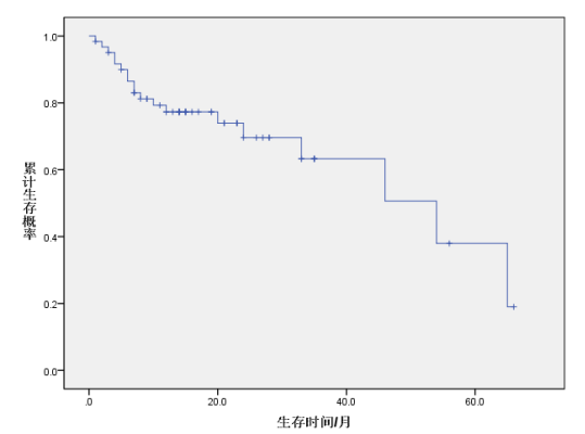
Among the 61 rectal cancer patients treated with heavy (carbon) ion therapy at the Wuwei Heavy Ion Center, the follow-up period ranged from 0 to 66 months. Survival analysis was performed using the Kaplan-Meier (K-M) method. The median survival time was 54 months (95% CI: 29–78). The cumulative survival probability at the end of treatment was 1. The cumulative survival probabilities at 12, 24, 36, 48, and 60 months after treatment were 0.7730, 0.6959, 0.6326, 0.5061, and 0.3796, respectively. (See Table 1, Figure 1)
Table 1 Cumulative Survival Probability of Rectal Cancer Patients Treated with Heavy (Carbon) Ion Therapy


Figure 1 Survival curve from the end of treatment to 60 months after treatment completion

Median survival time: 54 months (95%CI: 29~78 months)
III. Efficacy Highlights
1. The median survival time reaches 4.5 years
For rectal cancer patients who are predominantly stage III/IV, a median survival time of 54 months is significantly superior to historical data for conventional chemoradiotherapy. The median survival time for metastatic rectal cancer treated with conventional chemoradiotherapy ± targeted therapy is typically 24–30 months. The data from this group represent an extension of nearly double that period.
2. Clear long-term survival benefit
The 5-year survival rate is 38.0%, and the 48-month survival rate remains as high as 50.6%, suggesting that heavy (carbon) ion therapy can provide long-term disease control for some patients with advanced disease.
3. Good treatment tolerance
The cumulative survival probability of 1 at the end of treatment indicates that all 61 patients successfully completed heavy (carbon) ion therapy, with no cases of treatment interruption due to severe acute adverse effects. This is particularly significant for elderly patients (the oldest being 87 years old) and those who have failed multiple lines of prior therapy.
4. Cover refractory cases
This cohort includes complex cases such as disease progression after multiple lines of chemotherapy, postoperative pelvic recurrence, and metastases to the liver, lungs, bones, and brain. Heavy ion therapy was still able to achieve a certain proportion of long-term survival, demonstrating its value as a local salvage treatment.
IV. Comparison with Historical Data (For Reference)
Note: Caution is advised in direct comparison. Although this cohort includes some patients with stage II/III disease, the proportion of stage IV patients exceeds 60%, and it still achieves a median survival superior to that of conventional chemotherapy.
V. Advantages of Heavy (Carbon) Ion Therapy for Rectal Cancer
- High physical precision, sparing surrounding normal tissues: Heavy ions possess the Bragg peak property, with energy concentrated at the end of the beam range, causing minimal damage to normal tissues along the path (such as the small intestine, bladder, bones, and nerves). The rectum is located deep in the pelvis, adjacent to critical organs. Heavy ions enable "stereotactic" irradiation, reducing the risk of complications such as radiation enteritis, cystitis, and sexual dysfunction.
- High relative biological effectiveness (RBE), overcoming radioresistance: Regardless of tumor type, heavy (carbon) ion therapy is highly effective.
- For rectal cancer, the closer the tumor is to the anus, the more pronounced the advantage of heavy ion therapy. For patients whose anal sphincter cannot be preserved surgically, heavy ion therapy can easily achieve sphincter preservation. Thus, the lower the rectal cancer, the greater the advantage of heavy ions. For tumors in the upper rectum or at the rectosigmoid junction, heavy ions are less favorable than surgery; therefore, we recommend surgery for high rectal cancer.
- Effective against adenocarcinoma: Most rectal cancers are adenocarcinomas, which exhibit some resistance to conventional photon radiotherapy. The high linear energy transfer (LET) of heavy ions can directly induce double-strand breaks in tumor cell DNA, making repair difficult, thereby significantly enhancing tumor cell killing. This is particularly beneficial for locally advanced, postoperative recurrent, or conventionally radioresistant cases.
- Non-invasive, preserves anal function
- For patients who are inoperable or refuse surgery (e.g., elderly patients, those with multiple comorbidities, or those with low rectal cancer desiring sphincter preservation), heavy (carbon) ion therapy can serve as a curative or palliative treatment option, avoiding colostomy and improving quality of life.
- Synergy with systemic therapy
- Heavy (carbon) ion therapy lacks the systemic toxicity of chemotherapy and can be concurrently combined with chemotherapy, targeted therapy, or immunotherapy, achieving a "local + systemic" comprehensive treatment model that enhances efficacy.
- Mild acute reactions, short treatment course
- Compared with conventional radiotherapy (6–7 weeks), heavy (carbon) ion therapy typically requires only 2–4 weeks, with one fraction per day. Patient tolerance is good, and acute adverse reactions (such as diarrhea and tenesmus) are mostly transient and mild.
VI. Summary
In 61 rectal cancer patients, predominantly with locally advanced and metastatic disease, heavy (carbon) ion therapy achieved excellent outcomes, with a median survival time of 54 months and a 5-year survival rate of 38.0%. Treatment was well tolerated, with no treatment-related deaths. For rectal cancer patients who face difficult surgery, are unwilling or unable to undergo surgery, have chemoradiotherapy resistance, or experience postoperative recurrence, heavy ion therapy offers an effective local treatment option.
Wuwei Heavy Ion Center
The Wuwei Heavy Ion Center is a clinical application base for China's first heavy (carbon) ion therapy system with complete independent intellectual property rights. The system is technically supported by the Institute of Modern Physics, Chinese Academy of Sciences, with clinical operations managed by Gansu Wuwei Cancer Hospital. The center officially began treating tumors in November 2018. To date, it has treated over 2,800 patients, with the range of treatable diseases expanding to more than 100 types, including lung cancer, pancreatic cancer, liver cancer, glioma, nasopharyngeal carcinoma, rectal cancer, various sarcomas, and others.
The center has achieved eight "global firsts" in technological innovation: pioneering precision treatment techniques under ventilator control, bladder cancer treatment under precise bladder volume control, single-session treatment using surgically implanted spacers between organs and tumors; developing China's first 360° rotatable and height-adjustable ion radiotherapy chair; being the first in the world to complete multiple cases of heavy (carbon) ion therapy for cardiac tumors; and pioneering the world's first double-Bragg-peak enhanced heavy (carbon) ion lattice radiotherapy technique, among others.
The center leverages 30 research platforms, including the CAS Key Laboratory of Heavy Ion Radiation Biology and the University of Sydney Biomedical Data Analysis and Visualization Laboratory, and has conducted clinical research on more than 30 major disease types. To date, the center has published nine monographs, including the Standard Operating Procedure for Carbon Ion Radiotherapy, establishing a comprehensive knowledge system covering physical technology, clinical diagnosis and treatment, and health management.
Writer and Reviewer: Zhang Yanshan (Vice President, Gansu Wuwei Cancer Hospital)
Data Providers: Chen Xuelian, Li Pengqing (Cancer Registry and Follow-up Office)
Date: April 18, 2026